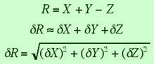
The answer to this fairly common question depends on how the individual measurements are combined in the result. We will treat each case separately:

Here the upper equation is an approximation that can also serve as an upper bound for the error. Please note that the rule is the same for addition and subtraction of quantities.
|
Example: and the error in the displacement is: |

Again the upper line is an approximation and the lower line is
the exact result for independent random uncertainties in the
individual variables. And again please note that for the purpose
of error calculation there is no difference between multiplication
and division.
|
Example: and the uncertainty in the velocity is: |

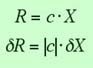
If you compare this to the above rule for multiplication of two
quantities, you see that this is just the special case of that
rule for the uncertainty in c, dc =
0.
|
Example: The uncertainty in the fall time is then: |

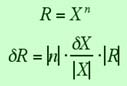
You see that this rule is quite simple and holds for positive
or negative numbers n, which can even be non-integers.

All rules that we have stated above are actually special cases of this last rule. We leave the proof of this statement as one of those famous "exercises for the reader".